ابرخازن ها در ذخیره انرژی
ابرخازن ها گروهی از خازن ها هستند که بیشترین ظرفیت ذخیره سازی را دارند.
ساختار کلی این نوع خازن شبیه به خازن های موجود در بازار است ولی جنس الکترودها ، الکترولیت و فواصل آنها متفاوت می باشند. خازن های معمولی از دو الکترود رسانا تشکیل شده اند که این دو الکترود توسط یک عایق از هم جدا شده اند. زمانی که خازن به یک منبع تغذیه متصل می شود ، باعث ایجاد تراکم بار الکتریکی روی دو الکترود می شود. به دلیل وجود عایق بین دو الکترود ، شارژ الکتریکی باقی مانده و باعث وجود آمدن میدان الکتریکی بین دو الکترود می شود. به این ترتیب خازن انرژی را در خود ذخیره می کند.
مقدار انرژی قابل ذخیره در خازن ، با مساحت صفحات الکترود رابطه مستقیم و با فاصله آنها از هم رابطه عکس دارد:

۰ℇ ضریب ثابت عایقی فضای خالی بین صفحات و rℇ ضریب ثابت عایق بین دو الکترود است. انرژی ذخیره شده در خازن نیز رابطه مستقیم با ظرفیت آن خازن دارد:

بنابراین می توان نتیجه گیری کرد که هرچه مساحت الکترودها بیشتر و فاصله بین آنها کمتر و ضریب عایقی استفاده شده بیشتر باشد ، انرژی ذخیره شده در خازن بیشتر خواهد بود. حداکثر ولتاژ اعمال شده به خازن باید محاسبه شود ، زیرا ولتاژ بیشتر از حد توان خازن باعث تخریب الکترولیت ، ذوب شدن عایق و حتی الکترودها می شود که به این ولتاژ ، ولتاژ شکست ( Break Down Voltage ) می گویند. ولتاژ شکست یک عایق ولتاژی است که آن عایق رسانای الکتریکی شده و جریان الکتریکی را عبور می دهد. ( توان عایقی Eds ) [۱۲] در نتیجه همیشه ماکسیمم انرژی قابل ذخیره در یک خازن ، محدود به ولتاژ شکست آن می باشد.
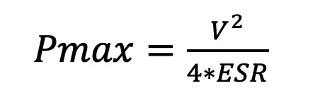
بطور عمومی ، توان برابراست با انرژی مصرف شده در هر واحد زمان. برای محاسبه توان یک خازن ( با توجه به ESR) از رابطه زیر کمک می گیریم:

در نتیجه براساس این رابطه می توان فهمید که ، حداکثر توان یک خازن محدود به ESR است.
خازن ها در مقایسه با باتری ها ، انرژی کمتری ذخیره می کنند ولی به سرعت می توان آن را تخیله کرد و به دلیل ESR کمتر آن ها ، توانایی دریافت شدت جریان بیشتری را نیز دارند.
ابرخازن ها نیز طبق اصول و قواعد خازن های معمولی کار می کنند. تفاوت اصلی ابرخازن ها با خازن های معمولی ، در استفاده از الکترودهای با مساحت بیشتر ، عایق های با ضخامت و فاصله کمتر بین الکترودها می باشد. با توجه به روابط شماره یک و دو ، می توان به ظرفیت خازنی بیشتر و در نتیجه به قابلیت ذخیره انرژی بیشتر دست یافت.
ساختار یک ابرخازن در شکل زیر ( عکس شماره سه ) نشان داده شده است:

عکس شماره سه – ساختار ابرخازن
به ابرخازن ها ، خازن های دو لایه ( EDLC ) نیز می گویند. همانطوری که در شکل بالا مشاهده می شود ، وجود عایق با ضریب عایقی زیاد باعث می شود که بار الکتریکی یک طرف عایق نتواند به سمت دیگر حرکت کند. در نتیجه شبیه دو خازن کاملا مجزا و سری عمل می کند. ابرخازن ها بر اساس تکنولوژی نانو تیوب ( Nanotube ) کار می کنند. برای درک بیشتر این تکنولوژی باید ویژگی های گرافن ( Graphene ) را بررسی کرد. گرافن یک ماده تک لایه ای از اتم های کربن است که در شبکه ای شش ضلعی به هم متصل شده اند. از ویژگی های برجسته گرافن مقاومت بالا در برابر شکست ( ۱۲۵ گیگاپاسکال ) ، تحرک پذیری بالای حامل های بار یا به عبارت دیگر رسانایی الکتریکی بالا (Vs/cm۲ 200،۰۰۰ ) و مساحت سطحی ویژه بالا ( مقدار محاسبه شده: ۲۶۳۰ متر مربع بر گرم ) می باشند.
گرافن گزینه مناسبی برای کاربردهای مختلفی همچون مواد ذخیره کننده انرژی به شمار می رود. این ماده تحرک پذیری الکترونی بسیار بالا در دمای اتاق دارد ، در نتیجه ماده بسیار مناسبی برای ابرخازن ها می باشد. کربن نانوتیوب ها در واقع صفحه های گرافن لوله شده هستند و با توجه به ساختار آنها ، می توانند خاصیت نیمه رسانایی و یا فلزی داشته باشند. برای استفاده از کربن تیوب ها ، آنها را در اسید نیتریک عمل آوری می کنند. کربن تیوب عمل آوری شده ، زمانی که در اسید سولفوریک ۳۸ درصد ( به عنوان الکترولیت ) قرار بگیرد ، دارای سطح ویژه m۲/g 430 ، ظرفیت خازنیِ Gravimetric 102 فاراد بر گرم و چگالی انرژی W.h/kg 5/0 می باشد. به این ترتیب می توان فهمید که ابرخازن هایی با الکترود کربن نانو تیوب از چه کارایی بالایی برخوردار هستند.
همانطوری که در شکل شماره چهار بصورت اغراق آمیز نمایش داده شده ، سطح کربن های فعال بسیار بزرگ ( هزاران متر مربع بر گرم ) بوده و به دلیل ناهموار بودن سطح ، توانایی جذب مقدار زیادی یون را دارند.

شکل شماره چهار – شکل سطح کربن های فعال
بر اساس شکل شماره چهار ، یک ابر خازن شبیه به مدارات RC ای است که بصورت سری بهم متصل شده اند. مقاومت های R همان ESR بوده و خازن های C ظرفیت خازنی الکترواستاتیک کربن های فعال هستند. ( شکل شماره پنج )

شکل شماره پنج – شبیه سازی مدار داخل ابرخازن به مدارات RC
زمان شارژ ابرخازن بستگی به مقدار CxR در هر مدار RC دارد. واضح است که هرچه مقدار CxR بیشتر باشد ، زمان بیشتری نیز برای شارژ خازن احتیاج است. جریان مورد نیاز برای شارژ خازن از رابطه چهار بدست می آید:
In = (V/Rn) exp (-t/(Cn*Rn))
از الکترولیت های مناسب برای ابر خازن ها ، می توان به Sodium Perchlorate (NaClo۴) و Lithium Perchlorate (LiClo۴) اشاره کرد. این الکترولیت ها در بازه دمایی منفی ۹۰ درجه سانتیگراد تا مثبت ۴۰۰ درجه سانتیگراد خصوصیات خود را از دست نمی دهند.
همانطور که قبلا هم اشاره شد ، هرچه عایق موجود در خازن ها نازک تر و خاصیت عایقی آن بیشتر باید ، ظرفیت خازن بیشتر می شود. بطور مثال ثابت دی الکتریک ( K ) شیشه بین ۶ تا ۱۰ ، میکا بین ۶/۵ تا ۶/۶ ، هوا تقریبا یک ، الکل ۲۵ و آب بین ۸۰ تا ۸۳ می باشد. ماده ای به نام Polyacrylonitrile (C۳H۳N)n که به Creslan 61 نیز معروف می باشد ، یک رزین پلیمری با دمای ذوب ۳۰۰ درجه سانتیگراد است. ثابت دی الکتریک این ماده ۵/۵ و ضخامت آن بین ۳/۰ تا ۸/۰ نانومیلیمتر می باشد.
از این ماده می توان در ابرخازن ها به عنوان عایق استفاده کرد.
ولتاژ کاری ابرخازن های استاندارد بین ۱/۲ تا ۷/۲ ولت است. برای بدست آوردن ولتاژ بیشتر باید خازن ها را بصورت سری بهم متصل کرد. از آنجایی که ولتاژ و ESR خازن های مختلف در حد خیلی جزئی باهم فرق می کنند ، بعد از اتصال آنها بهم ، باید ولتاژ ورودی اعمال شده و همچنین ولتاژ خروجی را تثبیت کرد.
به عنوان نتیجه گیری از این بخش می توان گفت ، با اینکه تا به امروز تکنولوژی ابرخازن ها به حدی نرسیده که بتوانند جایگزین کاملی برای باتری ها باشند ، ولی طول عمر زیاد آنها ، عدم نیاز به نگهداری ، حجم کم ، قابلیت فرم دهی ، سرعت زیاد شارژ و دشارژ و ظرفیت خازنی بالای آنها باعث شده که بتوانند انتخاب مناسبی برای ذخیره انرژی در مقیاس های مختلف باشند.
ایده:
محدودیت منابع انرژی و افزایش قیمت آن از یک طرف و از طرف دیگر ایده استفاده از انرژی های تجدید پذیر و سیستم های ذخیره انرژی در ساختمانها به یکی از موضوعات اصلی توسعه شهرها تبدیل شده است. تکنولوژی های جدید در ساخت و ساز ساختمان ها ، به طور چشم گیری مصرف انرژی را کاهش داده است. استفاده از مصالح جدید برای جلوگیری از اتلاف انرژی ( مانند اسکلت و دیوار و در و پنجره های چند جداره ) و همچنین راه اندازی سیستم های سولار و باد و غیره ، همگی اشاره به این امر دارند که صرفه جویی در مصرف انرژی های فسیلی از حالت تبلیغاتی درآمده و به یکی از استانداردهای زندگی شهری تبدیل شده است. یکی از مهم ترین مسائل مورد بحث در خصوص انرژی های تجدید پذیر ، چگونگی ذخیره آنها برای استفاده در هنگام نیاز است.
متداول ترین روش ذخیره ، استفاده از باتری است. همانطور که قبلا هم اشاره شد ، استفاده از باتری در ساختمان ها مشکلات زیادی دارد. از جمله می توان به موارد زیر اشاره کرد:
- نیاز به فضای زیاد برای نصب و راه اندازی مجموعه های باتری
- نیاز به سیستم های تهویه مناسب برای نگهداری باتری ها
- نیاز به سرویس و نگهداری
- عمر کوتاه و تعداد دفعات محدود شارژ و دشارژ باتری ها
- نیاز به استفاده از سیستم های پیچیده شارژ و زمان زیاد مورد نیاز برای شارژ کامل باتری ها
- دریافت محدود جریان الکتریکی
یکی از راه حل های موجود ، جایگزین کردن باتری های معمولی با باتری های ابرخازنی است. در بخش قبل به تفضیل راجع به مزایای ابرخازن ها و ویژگی های آنها نسبت به باتری ها بحث شد. ایده اصلی این پژوهش استفاده از پکیج های ابرخازن در ساختمان های موجود و همچنین استفاده از مصالح ساختمانی جدید ( که از پیش ، ابرخازن ها در آنها جاسازی شده اند ) برای ساخت و سازهای جدید می باشد. به علت ضخامت بسیار کم ابرخازن های تک لایه ای و همچنین قابلیت فرم دهی و انعطاف پذیری آنها و از همه مهم تر عدم نیاز به سرویس و نگهداری ، می توان دیوارهای پیش ساخته و یا موزائیک ( سرامیک ) هایی تولید نمود که تعداد زیادی از صفحات ابرخازنی در آنها جاسازی شده باشند. شکل شماره شش برش سطحی از ساخت یک سرامیک ( سنگ کف ) ابرخازنی است.

شکل شماره شش – برش سطحی یک سرامیک ( سنگ کف ) مجهز به ابرخازن
تعداد صفحات زیادی ابرخازن در هنگام تولید درون این موزائیک ( سرامیک ) جاگذاری شده است ، در نتیجه با توجه به ظرفیت خازن جاسازی شده و ولتاژ آن ، می توان موزائیک های متفاوت با ظرفیت های متفاوت تولید کرد. موزائیک ها به نحوی در کنار هم قرار می گیرند که یک مدار سری را تشکیل دهند تا ولتاژ بالاتری بدست آید. برای چیدمان و نصب موزائیک ها در کنار هم از ایده ساده لوله و زانویی استفاده شده است. در کل فقط سه حالت مختلف از موزائیک مورد نیاز است ، تا بتوان تمام حالت های احتمالی قرار گرفتن موزائیک ها را پوشش داد. در شکل شماره هفت و هشت این سه نوع از موزائیک و همچنین یک نمونه از چیدمان آنها نشان داده شده است.


شکل شماره هفت – سه نوع مورد نیازِ ساختِ سرامیک – چیدمان آنها کنار هم

شکل شماره هشت – چیدمان موزائیک ها
از مزایای استفاده از چنین موزائیک هایی موارد زیر را می توان برشمرد:
- عدم نیاز به فضای اضافی در داخل ساختمان برای نصب باتری ( منظور ابرخازن های داخل موزائیک )
- امکان استفاده از یک موزائیک به تعداد خیلی زیاد
- انعطاف پذیری زیاد در نصب و راه اندازی مجموعه (تعداد موزائیک ها) با توجه به فضای موجود و ذخیره انرژی مورد نیاز
در هنگام ساخت و ساز یک ساختمان و پس از نصب موزائیک ها ، می توان در کنار پریز برق های موجود ، پریز برق جداگانه ای (ECO) نصب کرد که تغذیه آن فقط از ابرخازن ها باشد. به این ترتیب می توان در ساعات اوج مصرف ، بجای استفاده از برق شهر از انرژی ذخیره شده در خازن ها استفاده کرد. این خازن ها بهترین انتخاب برای روشنایی توسط لامپ های کم مصرف LED هستند. به همین دلیل می توان برای روشنایی داخل ساختمان از این منبع بزرگ ذخیره انرژی استفاده کرد.
از موارد دیگر استفاده می توان به گزینه های زیر اشاره کرد:
- استفاده از این مجموعه ها به عنوان منبع انرژی در هنگام قطع برق ( برق اضطراری )
- راه اندازی اولیه تجهیزاتی که برای شروع به کار نیاز به جریان زیاد لحظه ای دارند ( مانند موتور یخچال ) و کمک به کم کردن هارمونیک های شبکه توزیع برق
- منبع ذخیره انرژی دریافتی از پنل های خورشیدی (در هنگام تابش خورشید با سرعت زیاد کل خازن ها شارژ می شوند)

دیدگاهتان را بنویسید